1、背景
某工程项目的基础工程分为三个施工段,其原始资料见表1:
表1
| 一段 | 二段 | 三段 | |
| 挖土 | 3 | 3 | 3 |
| 垫层 | 2 | 2 | 3 |
| 基础 | 4 | 4 | 3 |
| 回土 | 2 | 2 | 3 |

2、问题:
(1)根据表1绘制流水施工计划;
(2)找出该网络计划图存在的问题
(3)改正后找出关键线路
(4)说出总时差和自由时差的概念;
(5)说出关键工作和关键线路的概念。
(6)找出关键线路
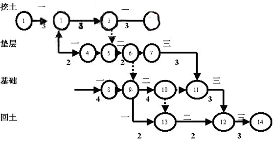
3、解答:(1)流水施工计划

T=(5 2 7) 7 = 21(天)
共 2 页 1 [2]
1、背景
某工程项目的基础工程分为三个施工段,其原始资料见表1:
表1
| 一段 | 二段 | 三段 | |
| 挖土 | 3 | 3 | 3 |
| 垫层 | 2 | 2 | 3 |
| 基础 | 4 | 4 | 3 |
| 回土 | 2 | 2 | 3 |

2、问题:
(1)根据表1绘制流水施工计划;
(2)找出该网络计划图存在的问题
(3)改正后找出关键线路
(4)说出总时差和自由时差的概念;
(5)说出关键工作和关键线路的概念。
(6)找出关键线路
3、解答:(1)流水施工计划

T=(5 2 7) 7 = 21(天)