一、单项选择题(共60题,每题1分。每题的备选项中,只有1个最符合题意)
1.在下列各项中,属于资本金财务现金流量表中现金流出的是( )。
A.折旧费
B.摊销费
C.应付账款
D.所得税
2.在下列关于现金流量图的表述中,错误的是( )。
A.以横轴为时间轴,零表示时间序列的起点
B.多次支付的箭线与时间轴的交点即为现金流量发生的时间单位初
C.在箭线上下流明现金流量的数值
D.垂直箭线箭头的方向是对特定的人而言的
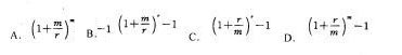
3.已知年名义利率r,每年计总次数n,则年有效利率为( )。
4. 在进行工程经济分析时, 下列项目财务评价指标中, 属于动态评价指标的是( )。
A.投资收益率
B.偿债备付率
C.财务VIP收益率
D.借款偿还期
5.在项目财务评价中,若某一方案可行,则( )。 6.某生产性建设项目,折算到第1年年末的投资额为4800万元,第2年年末的净现金流 量为1200万元,第3年年末为1500万元,自第4年年末开始皆为1600万元,直至第10年寿命期 结束,则该建设项目的静态投资回收期为( )年。 7.利息备付率表示使用项目( )偿付利息的保证倍率。 8.通货膨胀是指由于货币(这里指纸币)的发行量超过( )所需要的货币量而引起的货币贬值和物价上涨的现象。 9.在下列各项中,属于固定成本的是( )。 10.某生产性建设项目,其设计的生产能力为6万件,年固定成本为5600万元,每件产品的销售价格为3600元,每件产品的可变成本为1600元,每件产品的销售税金及附加之和为180元,则该生产性建设项目的盈亏平衡产销量为( )万件。
A.Pt
B.Pt
A.4.24
B.4.31
C.4.45
D.5.24
A.支付税金后的利润
B.支付税金前且支付利息后的利润
C.支付利息和税金前的利润
D.支付税金和利息后的利润
A.存量商品
B.商品流通
C.增量商
D.购买能力
A.长期借款利息
B.原材料费
C.燃料费
D.生产人员工资
A.1.56
B.1.64
C.3.08
D.3.20
